Hosszúhetény Községi Önkormányzat
  • Turizmus
    • Programok
    • Látnivalók
      • Hetény vezér
      • Templom
      • Üvegkiállítás
      • Tájház
    • Szállás
      • Szálloda panzió
        • Natur Hotel Kövestető
        • Almalomb
        • Csókakő Vendégház
      • Hosszúhetény Vendégházak
        • Anna Mediterrán Vendégház
        • Hódház Vendégház
        • Galagonya vendégház
        • Zengő vendégház
        • Zengő Kincse Vendégház
        • Sárvári Vendégház
        • Hatti-ház
        • Lilka Vendégház
        • Katica Vendégház
        • Menedék Ház
        • Nimsz Ház
        • Major Vendégház
        • Hármas lak
        • StagLand Cabins
      • Püspökszentlászló vendégházak
        • Koós Vendégház
        • Zengőlak Vendégházak
        • Mackólak
        • Bauer Vendégház
      • Kisújbánya vendégházak
        • Glashütte Kisújbánya Vadászház
        • Nimród Vendégház
        • Patak parti Vendégház
      • Böllér skanzen
    • Gasztro Kínálat
      • Natur Hotel Kövestető
      • Hosszútányér Gourmet-Ház
      • Tavasz vendéglő
      • Schunk Pince
  • Településünk
    • Köszöntő
    • Történet
    • Hírek
    • Szolgáltatás
    • Testvértelepülések
      • Morolo
      • Alfdorf
      • Hetin
    • Galéria
    • Média
      • Zengő Újság
      • Múltmentő
      • 3Htv
    • DRV Zrt. - szolgáltatással kapcsolatos elérhetőségek
  • Önkormányzat
    • Elérhetőségek
    • Hivatal
      • Szervezeti struktúra
      • Másolatkészítési szabályzat
      • Közérdekű adatok igénylése
    • Képviselő-testület
    • Bizottságok
    • Jegyzőkönyvek
    • Kitüntetések
    • Nemzetiségi Önkormányzat
    • Település üzemeltetés
    • Településrendezés
    • Közbeszerzés
    • Közérdekű adatok
    • Pályázatok
      • TOP PÁLYÁZATOK
        • TOP-2.1.3-16-BA1
        • TOP-2.1.3-16-BA1-2021-00071
        • TOP_PLUSZ1.2.3-21BA1-2022-00012
      • EFOP-1.5.2-16-2017-00028
      • KÖFOP-1.2.1-VEKOP-16-2016-00427
      • VP -19.2.1-61-4-17
      • Magyar Falu Program
      • RRF-1.1.2-21-2022-00122
      • KEHOP-2.2.2-15-2016-00055
      • A helyi identitás és kohézió erősítése a Komlói járásban
    • Választás információk
      • Választási szervek
  • Információk
    • Oktatási és nevelési intézmények
      • Hosszúhetényi Általános Iskola és Alapfokú Művészeti IskoIa
      • Zengő Óvoda és Konyha
      • Hosszúhetényi bölcsőde
    • Egészségügyi intézmények
    • Nemes János Művelődési Központ
    • Szociális intézmények
      • Családsegítő Szolgálat
      • Idősek Klubja
    • Rendőrség Körzeti Iroda
    • Alapítványok
    • Egyesületek
    • Rendeletek
      • Nemzeti Jogszabálytár
    • Kereskedelmi Nyilvántartás
      • Országos Kereskedelmi Nyilvántartás
    • Hirdetmények kifüggesztése
    • Hosszúhetényi Sport Kft
    • NYOMTATVÁNYOK
  • E-Ügyintézés
  • Kapcsolat
  • Vakbarát
  • Magyar
  • English
  • Vakbarát változat
  • Magyar
  • English
  • Hosszúhetény

    a hagyományőrző és
    teremtő falu
  • Hosszúhetény

    a hagyományőrző és
    teremtő falu
    További információk
  • Hosszúhetény

    a hagyományőrző és
    teremtő falu
    További információk

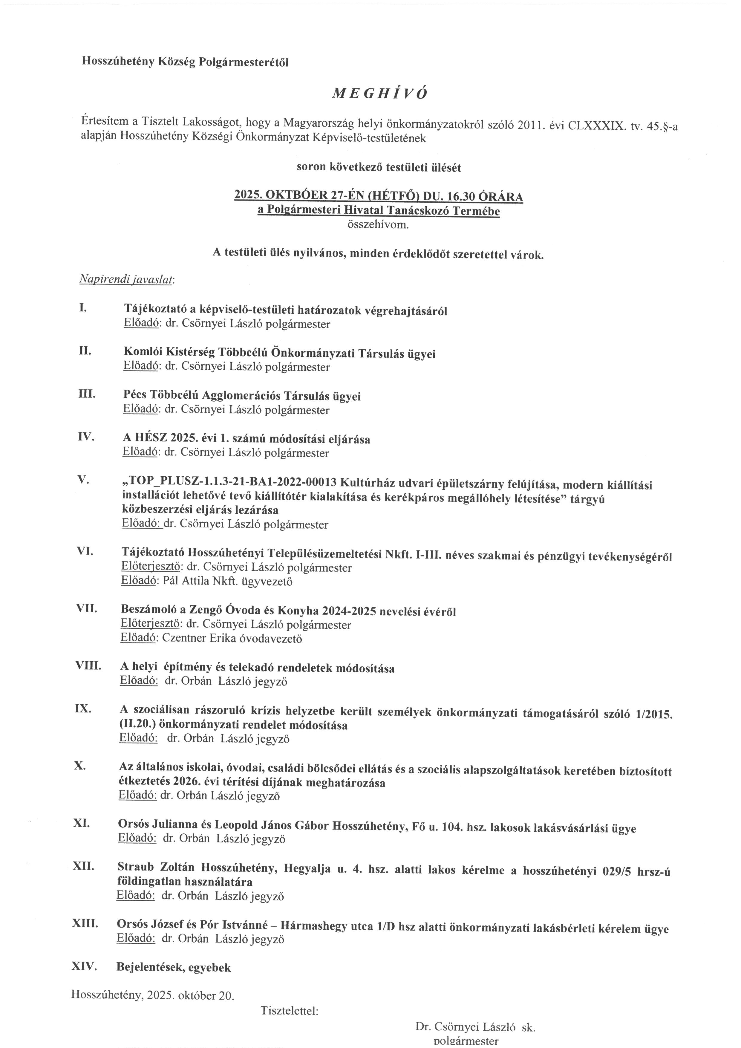
Meghívó képviselő-testületi ülésre

 

Hosszúhetény Községi Önkormányzat

Hosszúhetény festői fekvésű falu a Kelet-Mecsek déli szegélyén, a Mecsek legmagasabb csúcsa, a 682 méter magas Zengő délkeleti lankái és a Hármashegy lába közti völgyekben és dombokon helyezkedik el.

Elérhetőségeink
  • 7694 Hosszúhetény, Fő utca 166.

  • +36 72 490 814

  • onkormanyzat@hosszuheteny.hu

Kövess minket
Hosszúhetény Községi Önkormányzat
  • Adatvédelmi nyilatkozat
A weboldalt készítette: Elitweb
Pályázatok
Magyar Falu program